• Предмет: Алгебра
  • Автор: nelakozina899
  • Вопрос задан 2 года назад

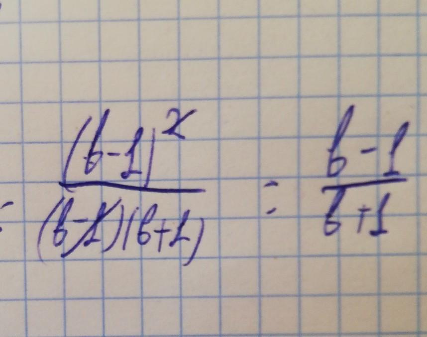
сократить дробь b^2-2b+1/b^2-1​

Ответы

Ответ дал: JOHmcconary
0

Объяснение:

Сразу решение. использую формулы сокращённого умножения

Приложения:
Вас заинтересует