Ответы
Ответ дал:
0
Ответ:
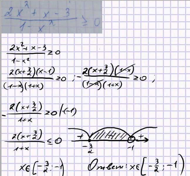
хэ[-3/2,-1}
смотри фото решения
Приложения:





Ответ дал:
0
Объяснение:
..............................................
Приложения:

Вас заинтересует
2 года назад
2 года назад
7 лет назад
7 лет назад
9 лет назад