Прямая y=kx+b проходит через точки А(4;2) и В(-4;0). Напишите уравнение этой прямой.
Напишите пожалуйста только уравнение
Ответы
Ответ дал:
0
Відповідь: 0,25х-у=-1
Или у=0,25х+1
Пояснення:
tkasyan030:
Напиши нормально, а не просто ответ
Ответ дал:
0
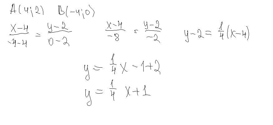
Ответ:
на фото
Объяснение:
Приложения:

Вас заинтересует
2 года назад
2 года назад
2 года назад
2 года назад
7 лет назад
7 лет назад
9 лет назад
9 лет назад