• Предмет: Алгебра
  • Автор: aminagayev2005
  • Вопрос задан 3 года назад

Срочно ! помогите
20 баллов

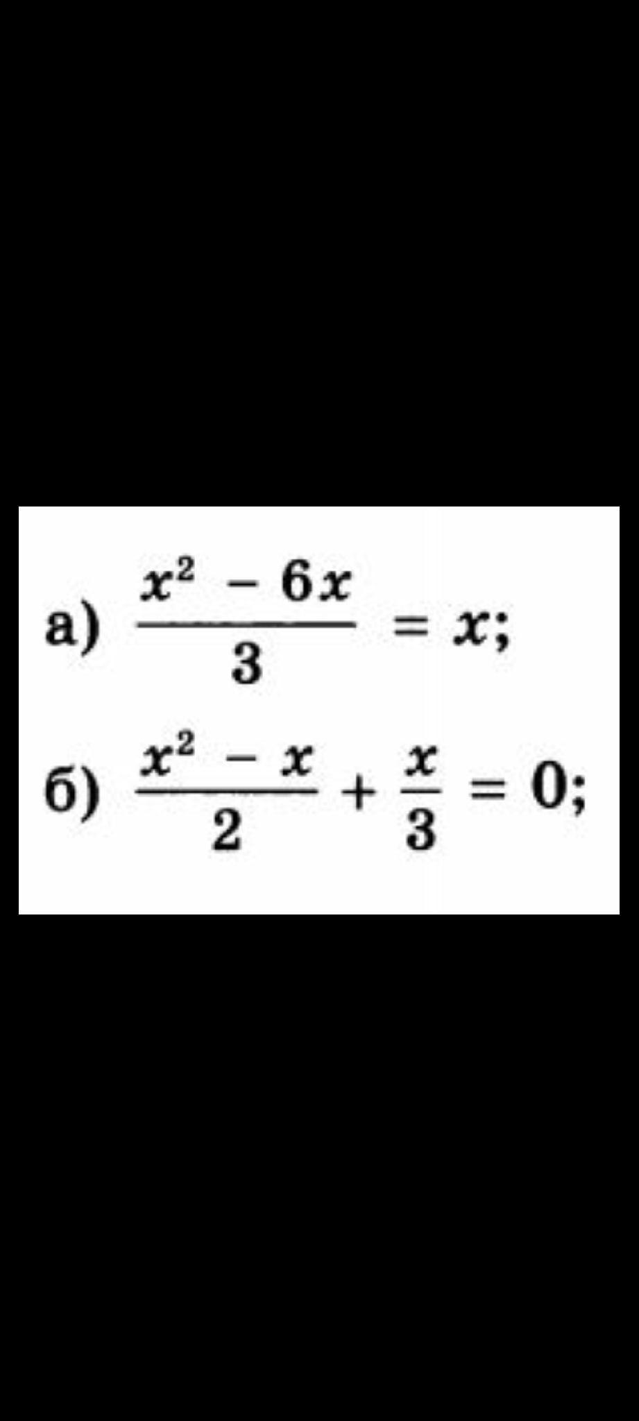
Приложения:

Ответы

Ответ дал: Suleiman45
0

Сразу решение, нужно все стороны первого уравнения умножить на 3, тогда получается

x²-6x=3x

Переносим 3х и меняем знак

х²-6х-3х=0

Привести подобные члены:

6х-3х=(-6-3)х=-9х

х²-9х=0

Выводим х за скобки

х(х-9)=0

х=0 х-9=0,х=9

х1=0,х2=9

2 уравнение сразу решение.

Нужно умножить сначала обе части уравнения на 6, чтобы избавиться от дробей, тогда получается:

3(х²-х)+2х=0

Рассказываем скобки

3х²-3х+2х=0

Привести подобные члены:

-3х+2х=-х

3х²-х=0

Решить уравнение дискриминантом:

D= (-1)²-4•3•0=1

x=-b±√D/2a

x1=1+1/6=2/6=⅓

x2=1-1/6=0/6=0

x1=⅓, x2=0

Вас заинтересует