• Предмет: Алгебра
  • Автор: Unyc
  • Вопрос задан 3 года назад

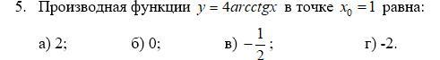
можно просто ответ!!!!!!!!!!!!!!!!!!!!!!!!!!!!!!!!!!!!!!!!

Приложения:

Ответы

Ответ дал: sherlok123321
1

Решение на фото.

Удачи.

Приложения:
Вас заинтересует