• Предмет: Алгебра
  • Автор: lizamorozova2002
  • Вопрос задан 3 года назад

Решите пожалуйста срочно и решение с делайте во вложении

Приложения:

Ответы

Ответ дал: NNNLLL54
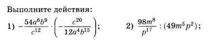
1

1)\; \; -\dfrac{54\, a^6\, b^9}{c^{12}}\cdot \Big(-\dfrac{c^{20}}{12\, a^4\, b^{15}}\Big)=\dfrac{54\, a^6\, b^9\, c^{20}}{c^{12}\cdot 12\, a^4\, b^{15}}=\dfrac{9\, a^2\, c^8}{2\, b^6}\\\\\\2)\; \; \dfrac{98m^8}{p^{17}}:(49\, m^5\, p^2)=\dfrac{98\, m^8}{p^{17}\cdot 49\, m^5\, p^2}=\dfrac{2\, m^3}{p^{19}}

Вас заинтересует