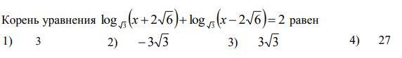
Не могу понять решение примера и подскажите решение и из какой темы это чтобы самой почитать, пожалуйста.
Приложения:

EFAsadova:
это какой класс???
Ответы
Ответ дал:
1
Ответ: корень из 30
Пошаговое объяснение:
Класс 10-11, логарифмические уравнения. Любой сайт по логарифмам в помощь, на решу егэ есть подобное с решением.
Приложения:


Ответ дал:
1
Ответ:
я сама решила потом проверила с папой
Приложения:

Вас заинтересует
2 года назад
2 года назад
2 года назад
7 лет назад
7 лет назад