• Предмет: Математика
  • Автор: georgiyfurry
  • Вопрос задан 3 года назад

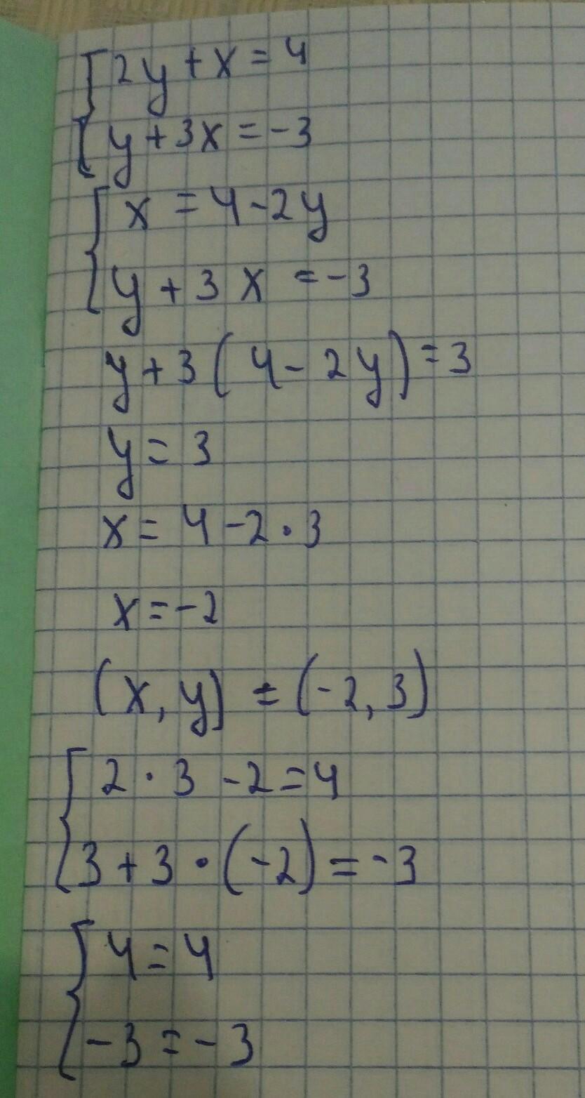
Решите систему уравнений методом сложения:
{2у+х=4 у+3х=-3 .

Ответы

Ответ дал: Nastyacat5445
1

Ответ:

Ответ на фотографии.

Удачи вам!

Приложения:

georgiyfurry: Посмотрите пожалуйста ещё одно уравнение в моем профиле, буду благодарен)
Вас заинтересует