• Предмет: Математика
  • Автор: dipseydipsey
  • Вопрос задан 8 лет назад

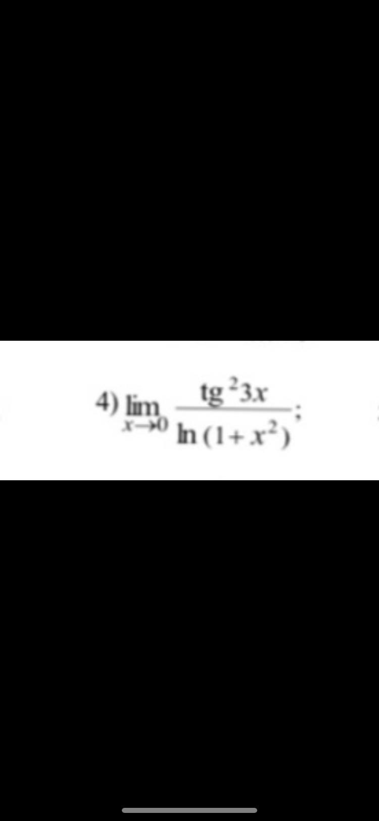
50 баллов. найти предел, не используя правило Лопиталя.
на фото. извините, что плохо видно

Приложения:

Ответы

Ответ дал: yugolovin
2

Как известно, предел не изменится, если заменить числитель и . знаменатель дроби на эквивалентные функции.

Имеем: при x\to 0

tg x\sim x\Rightarrow tg\ 3x\sim 3x\Rightarrow tg^2\ 3x\sim (3x)^2=9x^2;

\ln(1+x)\sim x\Rightarrow \ln(1+x^2)\sim x^2;

\lim\limits_{x\to 0}\frac{tg^2 \ 3x}{\ln(1+x^2)}=\lim\limits_{x\to 0}\frac{9x^2}{x^2}=\lim\limits_{x\to 0}\frac{9}{1}=9.

Ответ: 9

Вас заинтересует