Ответы
Ответ дал:
0
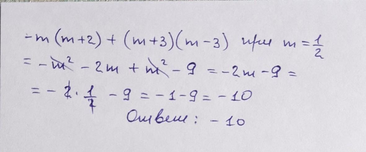
Ответ:
- 10.
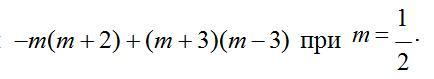
Упростите ввражение.
Приложения:

Вас заинтересует
2 года назад
2 года назад
2 года назад
7 лет назад
7 лет назад
9 лет назад
9 лет назад