• Предмет: Математика
  • Автор: Аноним
  • Вопрос задан 3 года назад

Помогите Пж!!!!!!!!!!​

Приложения:

Ответы

Ответ дал: sebrithien
2

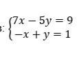
\displaystyle \left \{ {{7x-5y=9} \atop {-x+y=1}} \right. \to \left \{ {{7x-5y=9} \atop {y=1+x}} \right.

7x-5\cdot(1+x)=9\\7x-5-5x=9\\7x-5x=9+5\\2x=14\\x=14\div2\\x=7

y=1+7\\y=8

ОТВЕТ:  (7; 8)

Вас заинтересует