• Предмет: Алгебра
  • Автор: кошка1998
  • Вопрос задан 11 лет назад

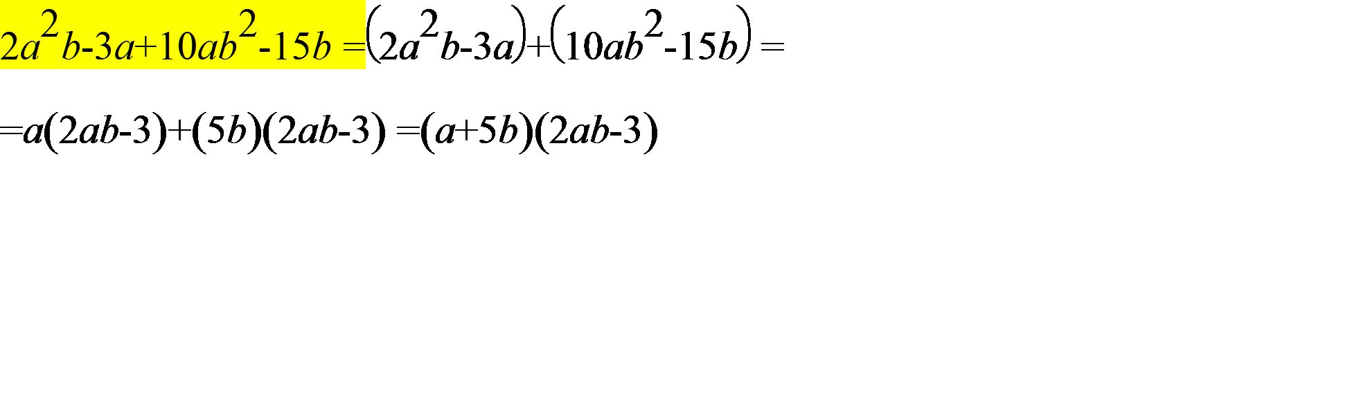
пожалуйста помогите!!!:Разложите многочлен на множители!!! 2a^2b-3a+10ab^2-15b

Ответы

Ответ дал: triolana
0

файл

------------------------------------

Приложения:
Ответ дал: Svet1ana
0

2a^{2}b-3a+10ab^{2}-15b=(2a^{2}b-3a)+(10ab^{2}-15b)=a(2ab-3)+5b(2ab-3)=(2ab-3)(a+5b)

Приложения:
Вас заинтересует