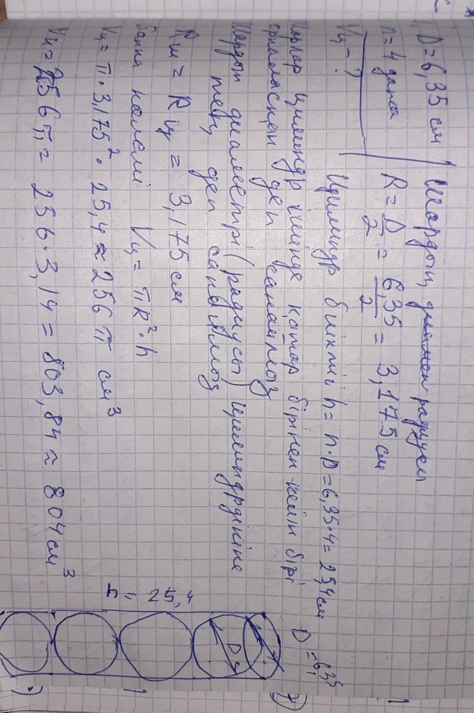
1-жаттығу
Теннис добының диаметрі – 6,35 см. Теннис доптары цилиндрлік банкіде төрт-төрттен жиналған. Банкінің көлемін тап (жауабын бүтін санға дейін дөңгелектеп бер).
2-жаттығу
Бір цилиндр екіншісінен екі есе биік, бірақ екіншісі одан 1,5 есе кең. Кең цилиндрдің көлемінің биік цилиндрдің көлеміне қатынасын тап.
3-жаттығу
Цилиндрдің табанындағы шеңбердің ұзындығы 3, ал бүйір бетінің ауданы 6 болатын цилиндрдің көлемін тап.
4-жаттығу
Қабырғалары 4 болатын тең қабырғалы үшбұрыш өзінің бір қабырғасы арқылы айналады. Пайда болған фигураның көлемін тап.
5-жаттығу
Параметрлері r = 2, R = 5 және h = 12 болатын қиық конустың көлемін тап.
6-жаттығу
Осьтік қимасының диагоналі 10 см, кіші табанының радиусы 3 см, ал биіктігі 8 см болатын қиық конустың көлемін тап.
Ответы
Ответ дал:
2
Ответ:
биік цилиндрдің кең цилиндрден 1,28 есе көлемі жоғары
кең цилиндрдің көлемі биік цилиндрдің көлемінің 0,625 бөлігің құрайды.
Объяснение:
H1=2×H2
D2=1,5×D1
R2=1,25×R1=5/4 ×R1
N -?
V1=πR1²×2×H2=2× πR²H=2×V
V2=π×(5/4 ×R1)² ×H2=25/16 × πR²H=25/16× V
N=V1/V2= 2÷25/16=2×16/25=32/25=1,28 есе
Приложения:
Agilshin:
5пен6 шығара алсаңыз шығарып бересізбе. Рахмет көп көп
5) Vқ.к=1/3 ×π×h(R²+R×r+r²)=1/3 ×π×12×(5²+5×2+2²)=1/3 ×π×12×(25+10+4)=1/3 ×π×12×39=156π немесе Vқ.к=156×π=156×3,14=489,84
6 ) миды қатырып жіберді
Жарайды рахмет
бір өлшемі бірлігі дұрыс емес, болуы керек. есептегенде цилиндр шығады.
Уважаемые геометры! Надо найти объем усеченного конуса с радиусом меньшего основания r= 3см , высотой h= 8 см и с диагон...
https://znanija.com/task/37345268?utm_source=android&utm_medium=share&utm_campaign=question
https://znanija.com/task/37345268?utm_source=android&utm_medium=share&utm_campaign=question
Вас заинтересует
2 года назад
2 года назад
2 года назад
9 лет назад
9 лет назад