• Предмет: Алгебра
  • Автор: Аноним
  • Вопрос задан 3 года назад

Не уходи ПЖ нужна помощь
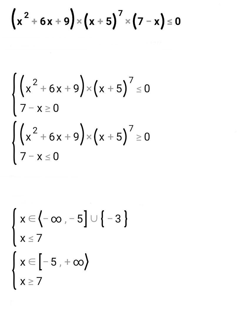
1.Найдите наибольшее целое отрицательное число, которое является решением неравенства.

2.Розвьяжите систему уравнений. В ответ запишите разницу х-у.

Приложения:

Ответы

Ответ дал: PLN8
1

Ответ:

1. -5

Объяснение:

Объяснение на фото

Приложения:

Аноним: а 2
Вас заинтересует