• Предмет: Алгебра
  • Автор: fghg71vdth
  • Вопрос задан 3 года назад

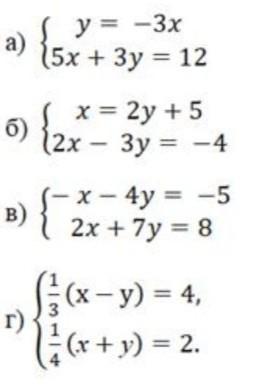
решить систему уравнений метадом подстановки​

Приложения:

Ответы

Ответ дал: Sentam
1

Ответ:

а- (-3;9)

б- (-25;-5)

в- (77;-18)

Объяснение:

а-1)5x+3(-3x)=12

5x-9y=12

-4x=12

x=-3

2)y=-3(-3)

y=9

б-1)2(2y+5)-3y=-5

4y+10-3y=5

4y-3y=-10-5

y=-15

2)x=2(-15)+5

x=-30+5

x=-25

в-1)-x=4y+5

x=-4y-5

2)2(-4y-5)+7y=8

-8y-10+7y=8

-8y+7y=10+8

-y=18

y=-18

3)-x-4(-18)=-5

-x=-72-5

x=77

Вас заинтересует