• Предмет: Математика
  • Автор: pojiloykrol
  • Вопрос задан 3 года назад

Решите пж помогите! ;-;

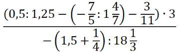
Приложения:

Ответы

Ответ дал: polina341552
1
33048/385=-86(сократила)

pojiloykrol: Можешь по действиям?
standoff3585: ПОЛИНАААААА
polina341552: Да
polina341552: Секунду
polina341552: Я не могу написать ответ, там другой человек пишет
polina341552: Ты можешь мне кинуть свою инсту
polina341552: Я туда скину фото
pojiloykrol: https://www.instagram.com/tryelionik/?hl=ru
Вас заинтересует