• Предмет: Физика
  • Автор: shipsahha13
  • Вопрос задан 3 года назад

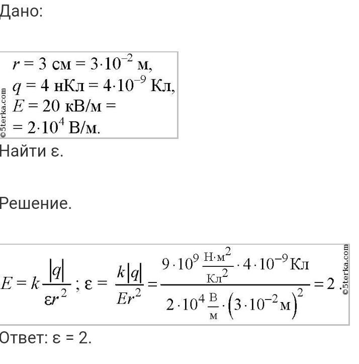
На відстані 4 см від заряду 4 нКл, який міститься в рідкому діелектрику, напруженість поля дорівнює 20 кВ/м. Яка діелектрична проникність діелектрика?

Ответы

Ответ дал: aleksandratimo55
33

решение написано на фото

Приложения:
Вас заинтересует