• Предмет: Алгебра
  • Автор: Pracenter
  • Вопрос задан 3 года назад

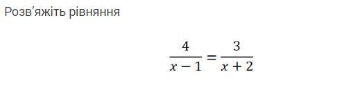
Решить пример 4/x-1 = 3/x+2

Приложения:

Ответы

Ответ дал: Dariia16072005
0

Ответ:

-11

Объяснение:

4/х - 1 =3/х+2

4(х+2)=3(х-1)

4х+8=3х-3

4х-3х= -3-8

х =-11

Вас заинтересует