• Предмет: Алгебра
  • Автор: Bamiko13579ai
  • Вопрос задан 3 года назад

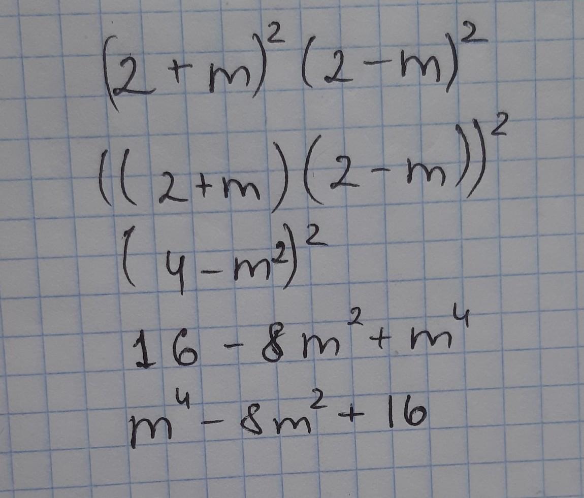
в) (2 + m)2 (2 - m)2

Ответы

Ответ дал: holodmaria3
0

Ответ:

m⁴-8m²+16

Объяснение:

На фото (надеюсь почерк понятен)

Приложения:
Вас заинтересует