• Предмет: Алгебра
  • Автор: dnifisdinvdsnvds
  • Вопрос задан 3 года назад

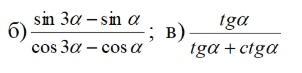
Упростите выражения.........

Приложения:

Ответы

Ответ дал: kida445213
2

б)\frac{2cos(2a)sin(a)}{-2sin(2a)sin(a)}

\frac{-cos(2a)}{sin(2a)}

-ctg(2a)

Ответ дал: AdShcool
1

Ответ:

б)

\frac{2cos(2a)sin(a)}{-2sin(2a)sin(a)}

\frac{-cos(2a)}{sin(2a)}

-cot(2a)

Вас заинтересует