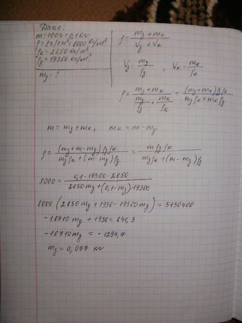
В куске кварца содержится небольшой самородок золота.Масса куска 100г,а его плотность 8г/см3(в кубе).Найти массу самородка.Плотности кварца и золота равны 2650кг/м3(в кубе) и 19360 кг/м3(кубе).Помогите пожалуйста,заранее спасибо.
Ответы
Ответ дал:
0
Решение у файле..................
Приложения:
Вас заинтересует
3 года назад
3 года назад
8 лет назад
8 лет назад
11 лет назад
11 лет назад
11 лет назад