1.Телефонная проволока длиной 25 м протянута от телефонного столба, где она прикреплена на высоте 9 м от поверхности земли, к дому, где ее прикрепили на высоте 33 м. Найдите расстояние между домом и столбом, предполагая, что проволока не провисает.
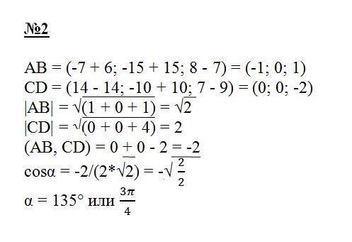
2. Вычислите угол между прямыми АВ и CD, если А (-6; -15; 7), В (-7; -15; 8), С(14; -10; 9) D (14).
3. Переведите в радианную меру углы:
а) 120; б) 10800.
4. Переведите в градусную меру углы:
а) рад; б) .
5. Площадь боковой грани правильной четырехугольной призмы равна 30см2, а боковое ребро 5 см. Найдите периметр основания призмы.
6. Шар вписан в цилиндр. Площадь полной поверхности цилиндра равна 90 см2. Найдите площадь поверхности шара.
Ответы
Ответ дал:
1
Ответ:
Всё решение представлено, кроме 5 задания. С призмой сложновато. Ну хоть что-то:))
Приложения:





Вас заинтересует
2 года назад
2 года назад
2 года назад
2 года назад
7 лет назад
9 лет назад