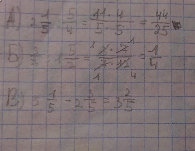
Выполните деление
А)2 целых 1/5:5/4
Б)3/7:1 целых 5/7
В)5 целых 1/5-2 целых 3/5
срочно решите даю 15 баллов срочноо
Ответы
Ответ дал:
1
Ответ:
воть..,..............
Приложения:

colaktimofej:
Ой спасибо огромное
Вас заинтересует
2 года назад
2 года назад
7 лет назад
7 лет назад