• Предмет: Математика
  • Автор: mishalvov71
  • Вопрос задан 3 года назад

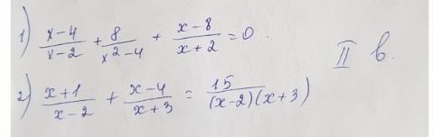
Пожалуйста решите !!!

Приложения:

Ответы

Ответ дал: AnatolyKuhotsky
1

Ответ:

Пошаговое объяснение:

Приложения:
Вас заинтересует