• Предмет: Математика
  • Автор: gavril1nadarya
  • Вопрос задан 3 года назад

помогите решить, срочно

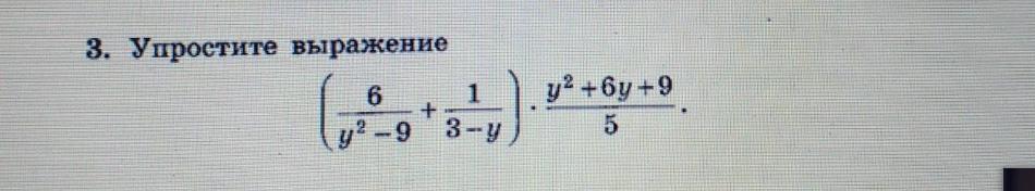
Приложения:

Ответы

Ответ дал: overhaul4erfer
1

Ответ:

-(у+3/5)

Пошаговое объяснение:

6-(y+3)/(у-3)(у+3) * у^2+6у+9/5 = 6-y-3/(у-3)(у+3) * у^2+6у+9/5 = -(y-3)/(у-3)(у+3) * у^2+6у+9/5 = -1/у+3 * у^2+6у+9/5 = -1/у+3 * (у+3)^2/5 = -(у+3/5)


gavril1nadarya: вы бы не могли на листке написать? Не понятно где дробь будет
Вас заинтересует