помогите сделать что-нибудь из этого,прошууу :333
скоро конец четверти, алгебру исправлять надо,завтра самостоятельная,пж)
Приложения:

Ответы
Ответ дал:
0
Для 1а идей нет, к сожалению.
Приложения:

Ответ дал:
0
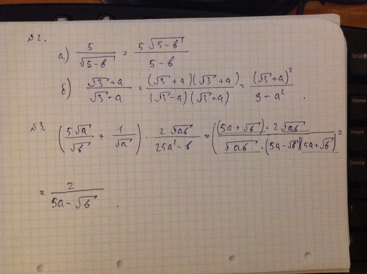
Ответ на фото..........................................
Приложения:


Ответ дал:
0
спасиб) очень помогли))
Вас заинтересует
2 года назад
8 лет назад
10 лет назад
10 лет назад
10 лет назад