Ответы
Ответ дал:
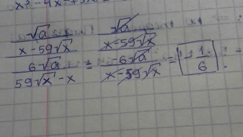
2
Приложения:

Вас заинтересует
2 года назад
2 года назад
9 лет назад
9 лет назад