• Предмет: Алгебра
  • Автор: Аноним
  • Вопрос задан 3 года назад

Срочно! Помогите решить! Оттаю последние балы!

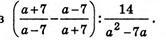
Приложения:

Ответы

Ответ дал: Quiskur
1

Объяснение:

((a+7)\(a-7)-(a-7)\(a+7))\(14\(a^2-7a))

Приведем дроби в скобке к общему знаменателю a^2-49, домножив первую дробь на (a+7), а вторую на (a-7):

((a+7)^2-(a-7)^2)\(a^2-49)

По формуле разности квадратов:

((a+7-a+7)(a+7+a-7))\(a^2-49)

14*2a\a^2-49

28a\a^2-49

Представим деление одной дроби на другую умножением первой на перевернутую вторую:

(28a*(a^2-7a))\(14*(a^-49))

Вынесем в числителе "а" за скобку, а в знаменателе разложим скобку на множители:

(28a^2*(a-7))\(14(a-7)(a+7))

Сократим дробь:

2a^2\(x+7)

Вас заинтересует