• Предмет: Алгебра
  • Автор: mikolakorpan
  • Вопрос задан 3 года назад

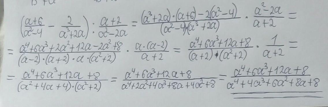
7завдання. Спростіть вираз поможіть!!!!!

Приложения:

tamarasova: Ничего не видно!!!!
mikolakorpan: (а+6:а2-4-2:а3+2а):а+2:а2-2а
mikolakorpan: Подивися
tamarasova: Там точно а3?

Ответы

Ответ дал: krampus777
0

РЕШЕНИЕ НА ФОТО

Надеюсь помог))

Приложения:
Вас заинтересует