• Предмет: Геометрия
  • Автор: lerazs
  • Вопрос задан 3 года назад

с рисунком пожалуйста!!!!!!​

Приложения:

Ответы

Ответ дал: Amylevskaya
0

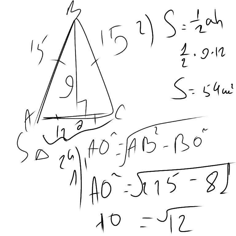
Ответ:

54 получилось

Объяснение:

Приложения:
Вас заинтересует