• Предмет: Алгебра
  • Автор: larusik0900
  • Вопрос задан 3 года назад


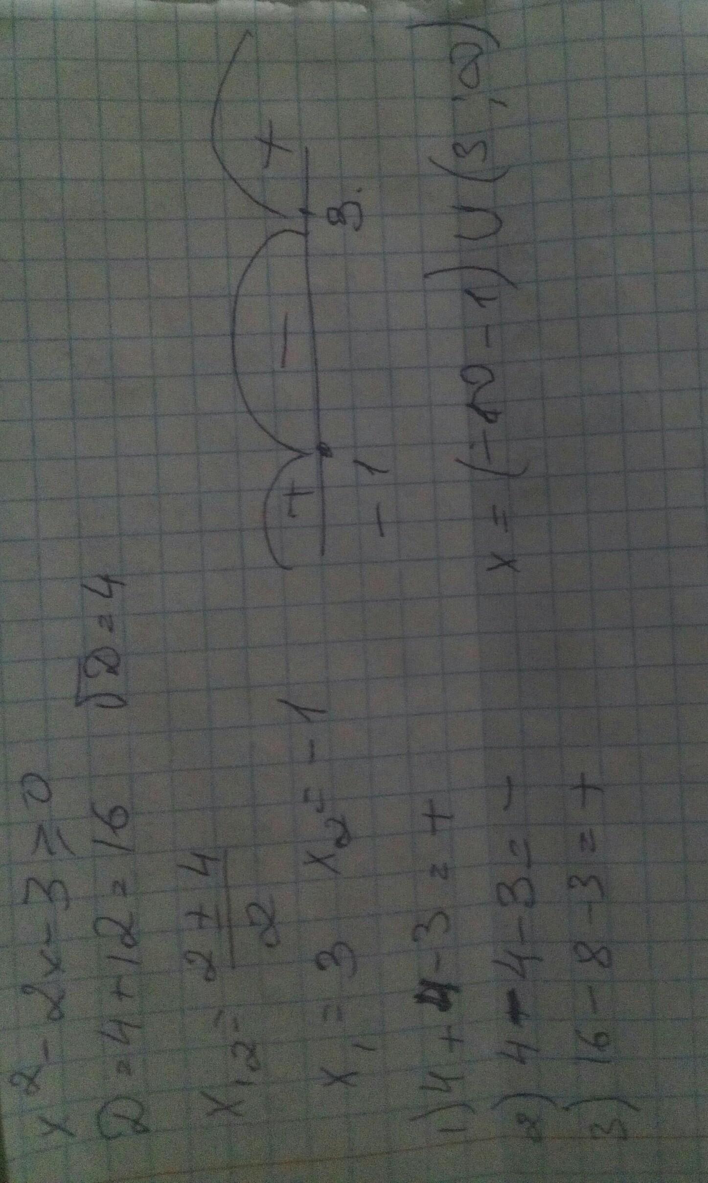
 {x}^{2} - 2x - 3 \geqslant 0

Ответы

Ответ дал: mamalyzhnikovai2004
0
Можно по теореме Виета:

X1*X2= -3 3*(-1)
X1+X2= 2 3-1

(x-3)(x+1)=0
Ответ: 3;-1
Ответ дал: smirtata60
0

Объяснение:

решение неравенства через дискрименант

Приложения:
Вас заинтересует