Помогите найти производные y'ₓ и y''ₓₓ функции, заданной параметрически.
Не могу разобраться как получить y''ₓₓ. В онлайн калькуляторах разные ответы.
Приложения:

Ответы
Ответ дал:
1
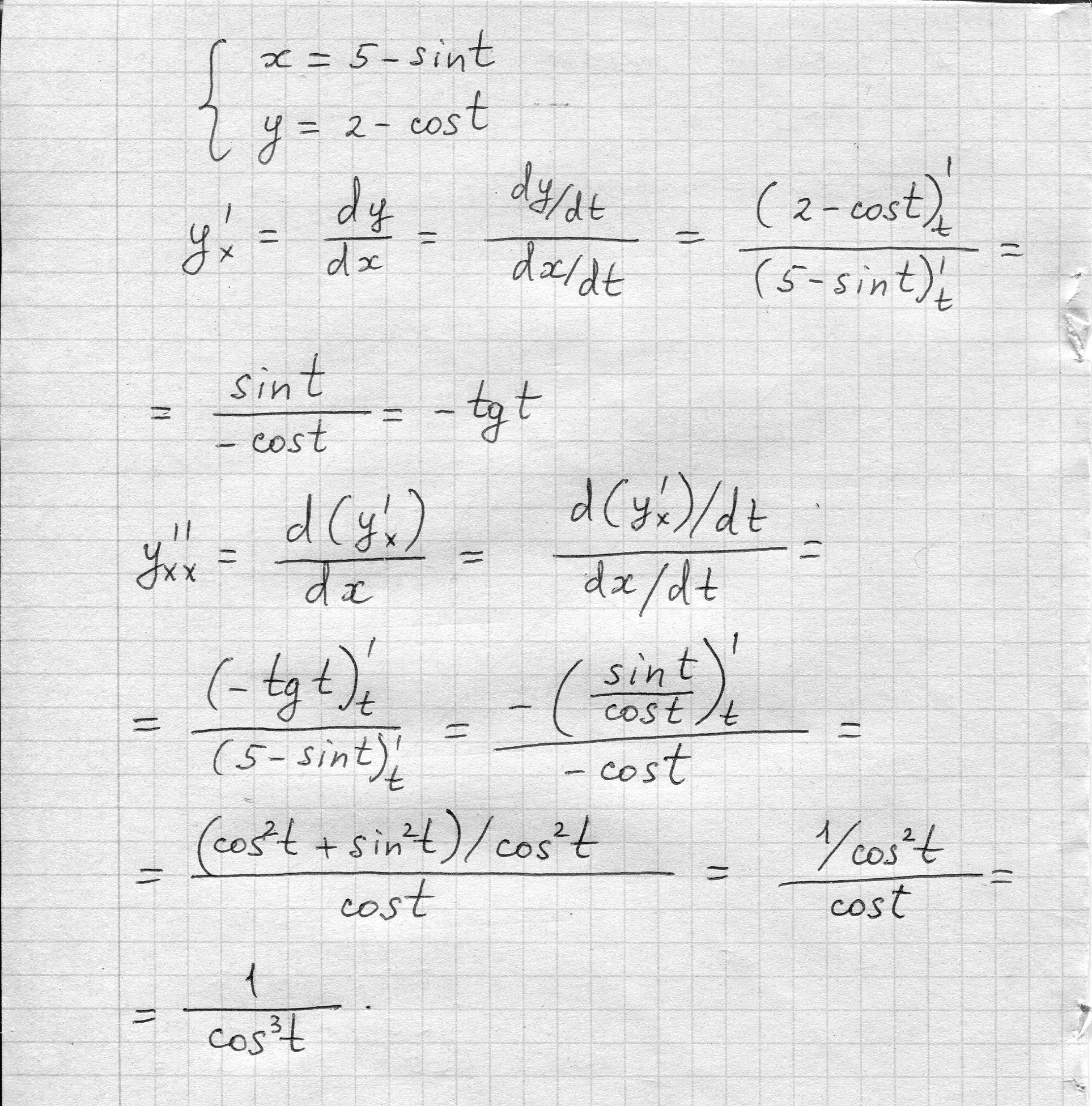
я написал решение на листочке ===>>
Приложения:

Вас заинтересует
2 года назад
2 года назад
2 года назад
7 лет назад