Найдите значение производной сложной функции в точке x_{0}:
Решить выделенный пример обязательно, остальные по желанию, буду благодарен!
Если надо, то могу докинуть баллов (если все решите))
Приложения:

Ответы
Ответ дал:
1
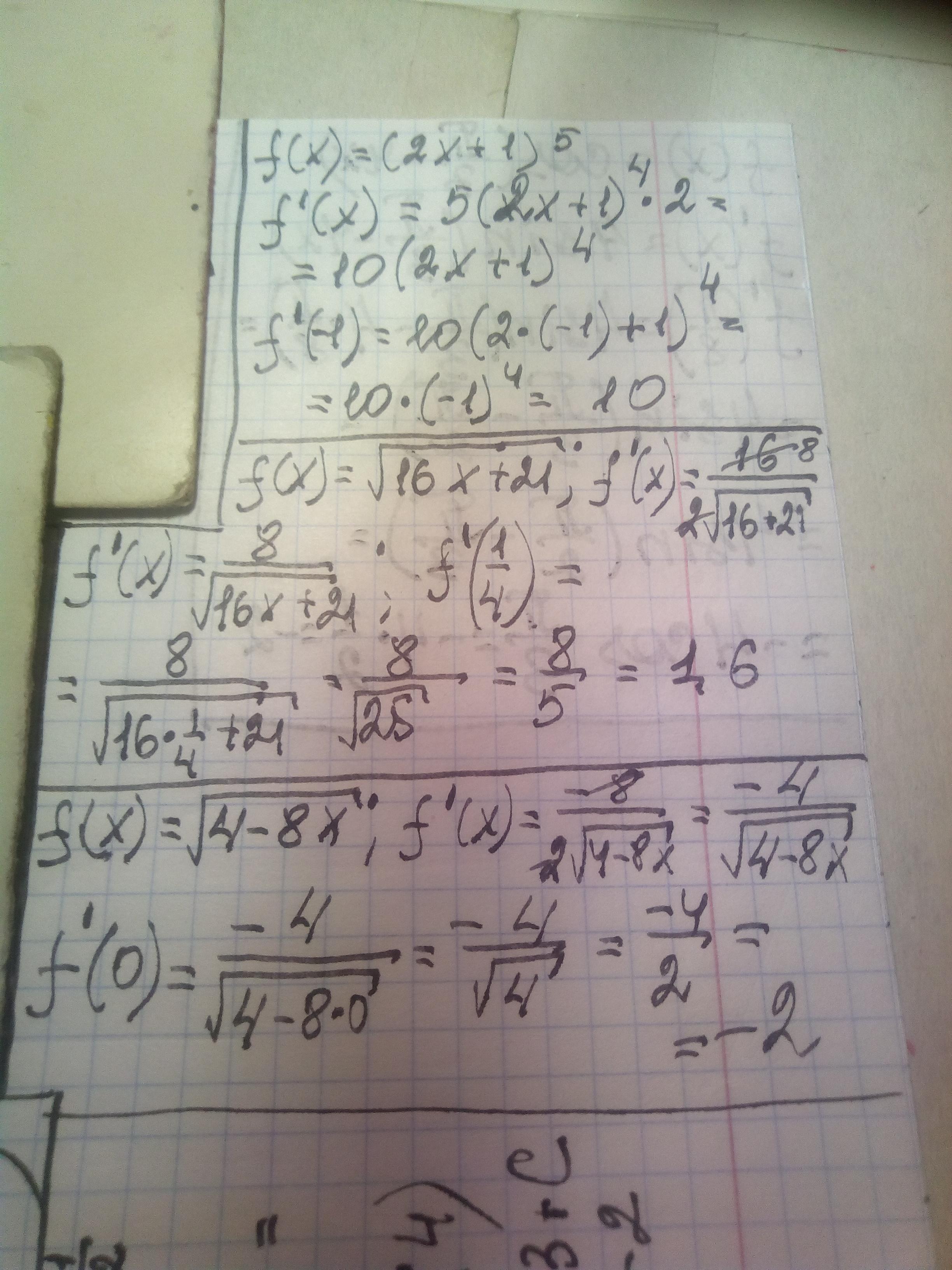
Ответ:
решение смотри на фотографии
Пошаговое объяснение:
Приложения:


ni203586:
Благодарю!
Вас заинтересует
2 года назад
2 года назад
2 года назад
7 лет назад
9 лет назад
9 лет назад