• Предмет: Математика
  • Автор: vkrast4
  • Вопрос задан 3 года назад

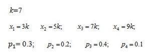
Высшая математика)) Найти математическое ожидание М(Х), дисперсию D(X), среднее квадратическое отклонение , функцию распределения вероятностей F(X) (и начертить ее) дискретной случайной величины Х, заданной законом распределения:

Приложения:

Ответы

Ответ дал: tvinkblue
1

Ответ:

Пошаговое объяснение:

Ответ в прикреплённом файле

Приложения:
Вас заинтересует