Ответы
Ответ дал:
2
Решение в прикрепленном файле
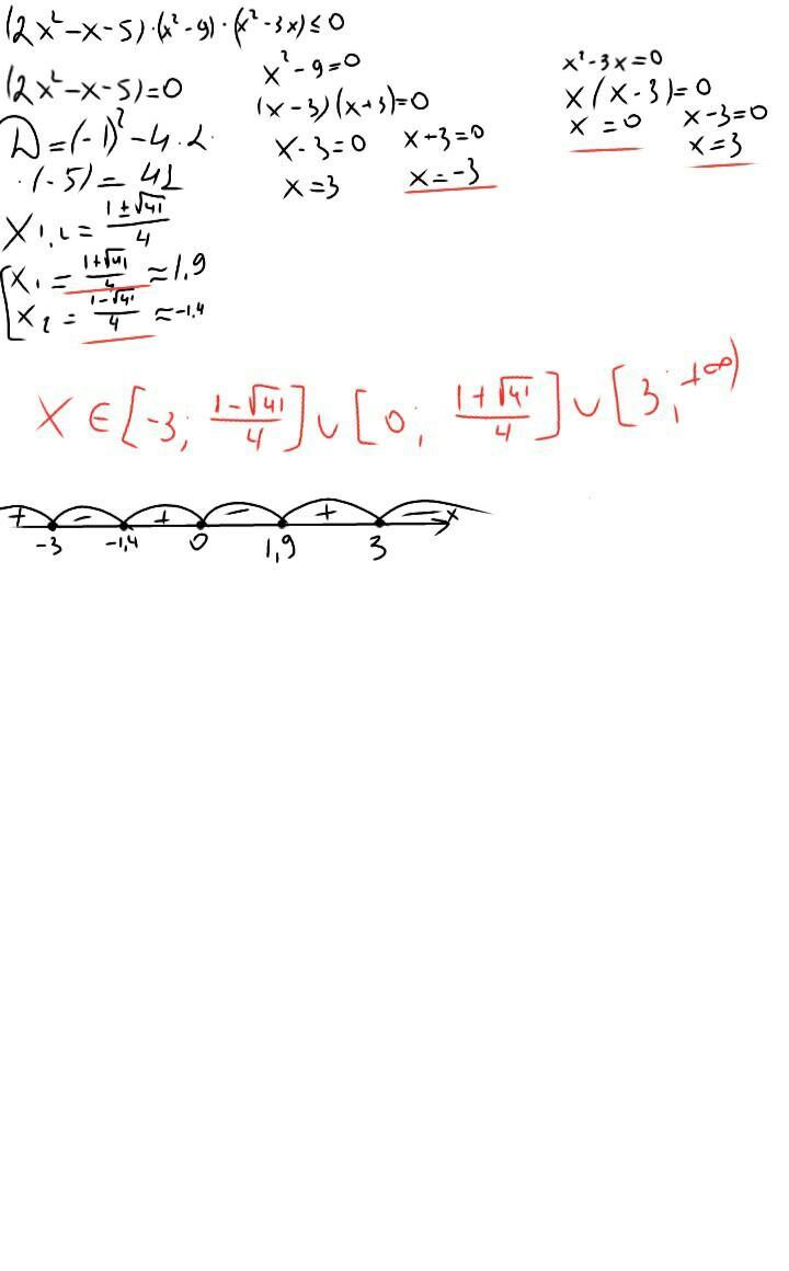
Ответ: х принадлежит отрезкам от [-3; 1-√41/4] и [0;1+√41/4] и [3;+∞)
Ответ: х принадлежит отрезкам от [-3; 1-√41/4] и [0;1+√41/4] и [3;+∞)
Приложения:

Вас заинтересует
2 года назад
2 года назад
2 года назад
7 лет назад
9 лет назад
9 лет назад