• Предмет: Алгебра
  • Автор: InquisitorLavellan
  • Вопрос задан 3 года назад

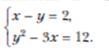
решите систему уравнений

Приложения:

Ответы

Ответ дал: miron2077
0

х-у=2

у²-3х=12

из первого ур-я х=2+у

у²-3(2+у)=12

у²-3у-18=0 D=9+72=81=9²

у₁=(3+9)/2=6 х₁=2+6=8

у₂=(3-9)/2=-3 х₂=2-3=-1

(8;6) (-1;-3)

Ответ дал: bookingmachine
0

Ответ:

(x;y) (-1|-3)

Объяснение:

x=2+y

y²-3(2+y)=12

y²-6-3y=12

y²-3=18

y²-3y-18=0

По дискриминанту находим корни: y1=-3

y2=6

Подставляем:

x=2+y

y=-3

x=2+(-3)

x=-1

для второго:

y²-3x=12

9-3(-1)=12

9+3=12

12=12

Вас заинтересует