• Предмет: Математика
  • Автор: yungduplo
  • Вопрос задан 3 года назад

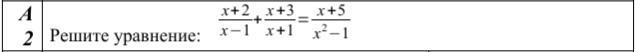
Решите уравнение. |||||||||||||||

Приложения:

Ответы

Ответ дал: vityamath
1

Ответ:

-3

Пошаговое объяснение:

Приступлю к решению:

Домножу все на (x-1)(x+1):

(x+2)(x+1)+(x+3)(x-1)=x+5

ОДЗ:

(x-1)(x+1)\neq 0\\x\neq 1;-1

(x+2)(x+1)+(x+3)(x-1)=x+5\\x^2+x+2x+2+x^2-x+3x-3-x-5=0\\2x^2+4x-6=0\\x^2+2x-3=0\\D=4+12=16

\sqrt{16} =4\\x1=\frac{-2+4}{2} =1\\\\x2=\frac{-2-4}{2} =-3

1 не подходит по ОДЗ:

Ответ дал: Pro100Pomog
0

Ответ:

x = -3

Пошаговое объяснение:

(x+2) / (x-1) + (x+3) / (x+1) = (x+5) / (x^{2} -1)    | домножаем на (x^{2} -1)

Условие: x ≠ 1; -1

(x+2)(x+1) + (x+3)(x-1) = x+5

x^{2} + 3x + 2 +x^{2} + 2x - 3 = x + 5

2x^{2} + 4x - 6 = 0  | делим на 2

x^{2} + 2х - 3 = 0

D = 4 - 4 * 1 * (-3) = 4 + 12 = 16

  • x первый = (-2 + 4) / 2 = 1 Не подходит по условию
  • x второй = (-2 - 4) / 2 = -3

Ответ:  x = -3

Вас заинтересует