• Предмет: Математика
  • Автор: nastya03040
  • Вопрос задан 3 года назад

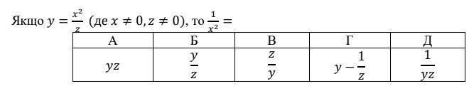
вот задание
пжлст, объясните почему именно тот или иной вариант правильный

Приложения:

Ответы

Ответ дал: Аноним
1

Ответ:

yz=x², \frac{1}{x^{2} } = \frac{1}{yz} верно Д

Пошаговое объяснение:

Вас заинтересует