Ответы
Ответ дал:
0
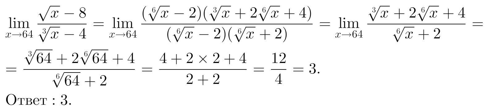
РЕШЕНИЕ НА ФОТО
Надеюсь помог)))
Приложения:

Ответ дал:
2
~~~~~~~~~~~~~~~~~~~~
Приложения:

Вас заинтересует
2 года назад
2 года назад
2 года назад
2 года назад
7 лет назад
9 лет назад