• Предмет: Математика
  • Автор: leonardoalekseev
  • Вопрос задан 3 года назад

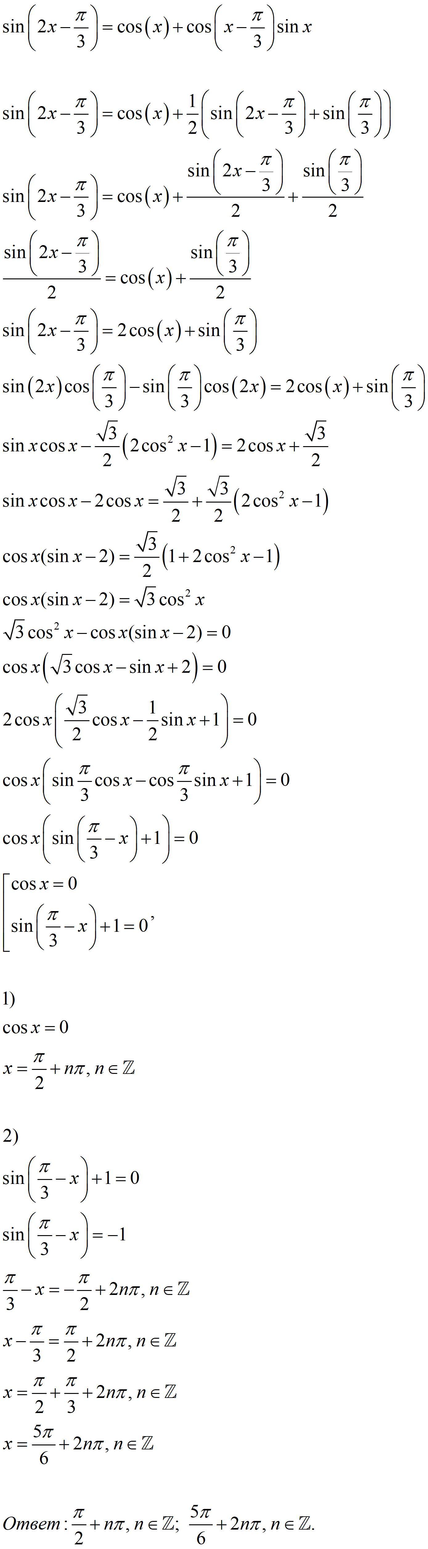
sin(2х-п/3) = cosx + cos(x-п/3)sinx
просто... как это решать?

Ответы

Ответ дал: MrSolution
1

Ответ:

(см. прикрепленный файл)

Приложения:
Вас заинтересует