• Предмет: Математика
  • Автор: popovasofi2002
  • Вопрос задан 3 года назад

Помогите, пожалуйста. На кону стипендия (((

Приложения:

Ответы

Ответ дал: GluV
0

Ответ:

Пошаговое объяснение:

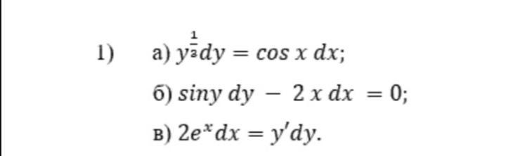
1. y^(1/2)dy=d(2/3*y^(3/2))

cos(x)dx=d(sin(x))

Тогда (2/3)* y^(3/2)=sin(x)+Const => y=(3/2*sin(x)+Const)^(3/2)

2. sin(y)dy=-d(cos(y))

2xdx=d(x^2)

Тогда -cos(y)=x^2+Const => y=arccos(Const-x^2)

3. dy/dx=y' Перепишем уравнение в виде (y')^2=2exp(x)

Тогда dy/dx=2exp(x) => y=2exp(x)+Const

Вас заинтересует