• Предмет: Алгебра
  • Автор: zubnojfej
  • Вопрос задан 3 года назад

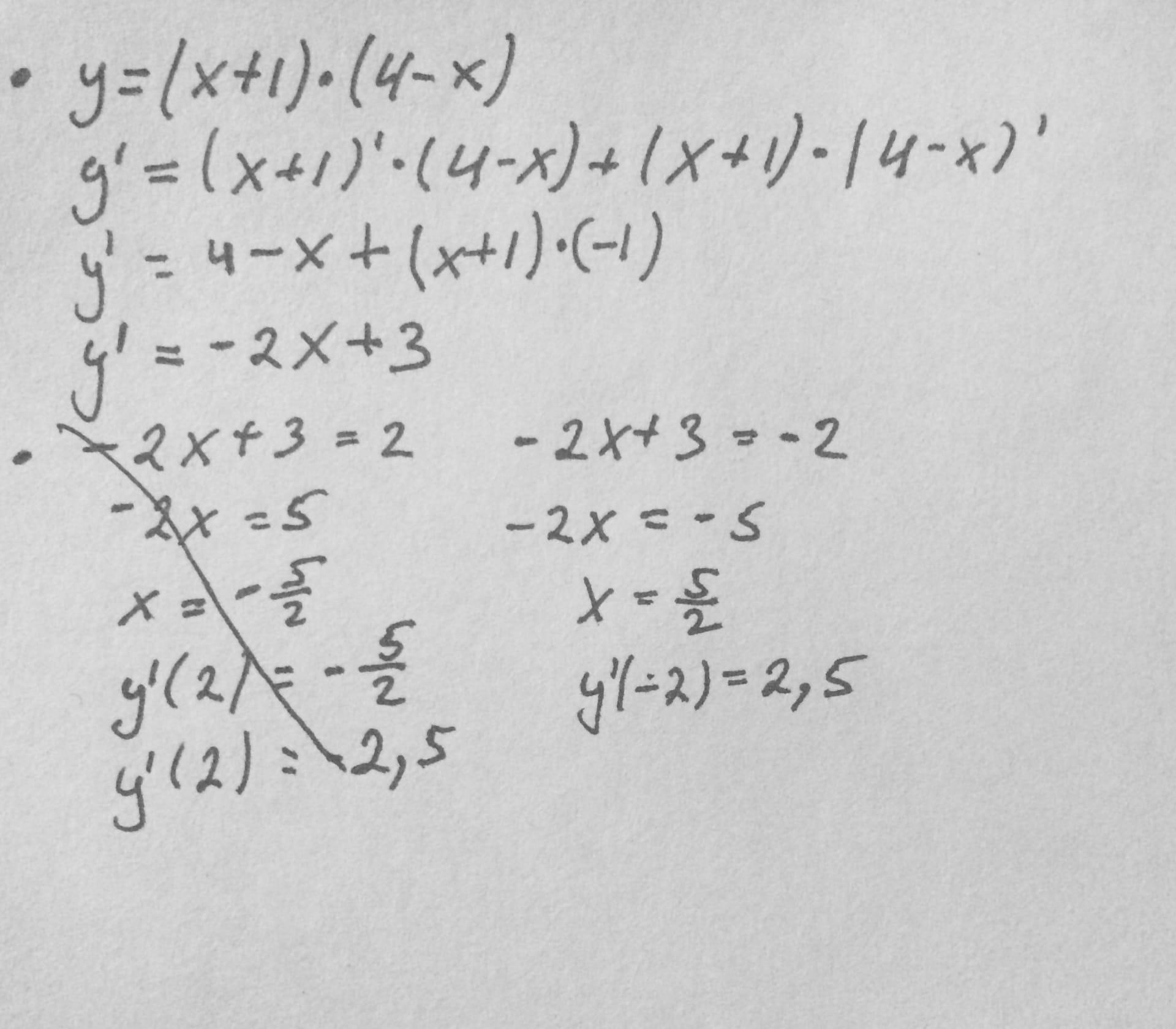
Вычислить производную функции у=(х+1)(4-х) и у’(-2)​

Ответы

Ответ дал: narmoforodren27
1

Ответ:

Насчет второго не совсем уверен, не помню точно, как делается.

Объяснение:

Приложения:
Вас заинтересует