• Предмет: Математика
  • Автор: teslya2013
  • Вопрос задан 3 года назад

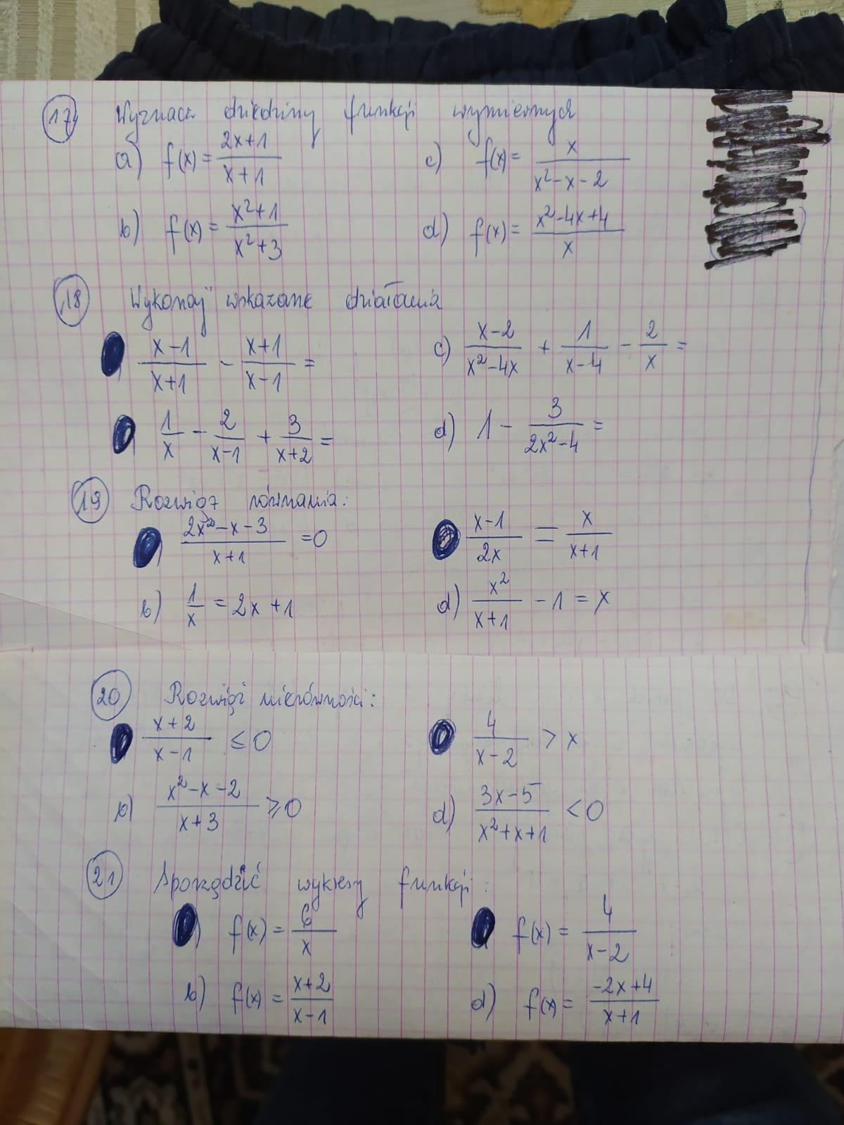
Помогите пожалуйста. 17 задание + все примеры с зарисованными кругами

Приложения:

Ответы

Ответ дал: sabrina03129
1

17 задание:

а) f(x)=2x+1/x+1

0=2x+1/x+1

Ответ: x= -1/2

b) f(x)=x²+1/x²+3

0=x²+1/x²+3

x∉R

c) f(x)=x/x²-x-2

0=x/x²-x-2

Ответ: x=0

d) f(x)=x²-4x+4/x

0=x²-4x+4/x

Ответ: x=2

18 задание:

a) x-1/x+1-x+1/x-1

(x-1)²-(x+1)²/(x+1)*(x-1)

-2*2x/x²-1

-4x/x²-1

Ответ: -4x/x²-1

b)1/x-2/x-1+3/x-2

(x-1)*(x-2)-2x*(x-2)+3x*(x-1)/x*(x-1)*(x-2)

x²-2x-x+x-2x²+4x+3x²-3x/(x²-x)*(x-2)

2x²-2x+2/x³-2x²-x²+2x

Ответ: 2x²-2x+2/x³-3x2+2x

19 задание:

с)x-1/2x=x/x+1

x-1/2x=x/x+1

(x-1)*(x+1)=2x²

x²-1+2x²

x²-2x²=1

-x²=1

x²=-1

Ответ: x∉R

20 задание:

а) x+2/x-1≤0

x=2≤0(фигурная скобка)

x-1>0(фигурная скобка)

x+2≥0(другая фигурная скобка)

x-1<0(другая фигурная скобка)

x≤-2(фигурная скобка)

x>1(фигурная скобка)

x≥-2(другая фигурная скобка)

x<1(другая фигурная скобка)

x∈∅

x∈[-2,1)

Ответ: x∈[-2,1)

Вас заинтересует