• Предмет: Математика
  • Автор: moderqis
  • Вопрос задан 3 года назад

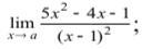
Помогите плиз!)!))!)!)!)! Вычислить пределы

Приложения:

Ответы

Ответ дал: Burunov2002
1

Ответ:

Пошаговое объяснение:

Приложения:
Вас заинтересует