• Предмет: Математика
  • Автор: shhhhththr3455yg
  • Вопрос задан 3 года назад

27 Баллов! Задание на фото. Пожалуйста помогите!
ОЧЕНЬ СРОЧНО!
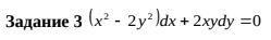
Найти общее решение однородного дифференциального уравнения.

Приложения:

Ответы

Ответ дал: djem666djem
1

Ответ:

y^2/x^2=1-C/x=>y^2=x^2-Cx

Приложения:
Вас заинтересует