• Предмет: Математика
  • Автор: shhhhththr3455yg
  • Вопрос задан 3 года назад

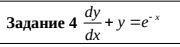
28 Баллов! Задание на фото. Пожалуйста помогите! Очень СРОЧНО!

Найти общее решение линейного дифференциального уравнения.

Приложения:

Ответы

Ответ дал: Аноним
1

y'+y=e^{-x}~~~\bigg|\cdot e^x\\ \\ y'e^x+ye^x=1\\ \\ (ye^x)'=1\\ \\ ye^x=\displaystyle \int dx\\ \\ ye^x=x+C\\ \\ y=(x+C)e^{-x}

Ответ дал: efs2000
1

Решение  описано в прикрепленном фото

Приложения:
Вас заинтересует