Ответы
Ответ дал:
1
Ответ:
на фотографиях
Пошаговое объяснение:
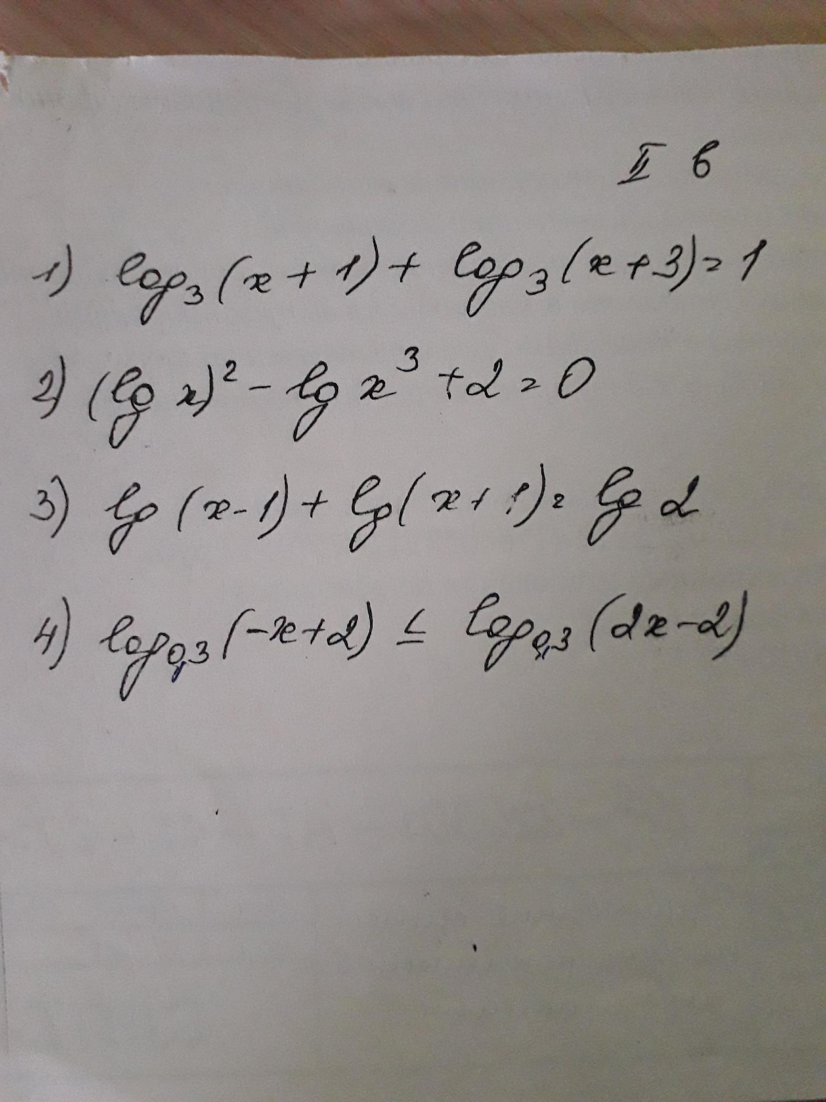
В 1 номере x2 не подходит, так как он меньше -1, а с точки зрения логарифмов - это неверно.
Во 2 номере нужно применить метод внедрения новой переменной t
В 3 номере просто перенести всё в левую часть и решать по правилам логарифмов
В 4 номере неравенство, поэтому нужно найти ОДЗ для логарифмов и непосредственно для самих неравенств.
Приложения:



MolkyWay:
Вроде правильно должно быть
Вас заинтересует
2 года назад
2 года назад
2 года назад
7 лет назад
7 лет назад
9 лет назад