• Предмет: Математика
  • Автор: vupsen01
  • Вопрос задан 3 года назад

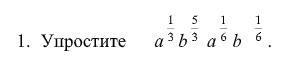
Задание по математике. Упростите пожалуйста

Приложения:

Ответы

Ответ дал: Aspirant2022
1

Ответ:

Смотри в решении

Пошаговое объяснение:

a^{\frac{1}{3}}b^{\frac{5}{3}}*a^{\frac{1}{6}}b^{\frac{1}{6}}\\a^{(\frac{1}{3}+\frac{1}{6})}b^{(\frac{5}{3}+\frac{1}{6})}\\a^{(\frac{2}{6}+\frac{1}{6})}b^{(\frac{10}{6}+\frac{1}{6})}\\a^{\frac{3}{6}}b^{\frac{11}{6}}\\a^{\frac{1}{2}}b^{\frac{11}{6}}\\\sqrt{a}\sqrt[6]{b^{11}}


Аноним: Ответ неправильный
Aspirant2022: Я несколько раз менял решение
Аноним: И неправильно менял
Аноним: Ты че отметил мое решение как нарушение
Вас заинтересует