• Предмет: Математика
  • Автор: Aspyd9
  • Вопрос задан 3 года назад

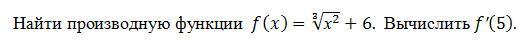
Необходимо полное решение с объяснением примера изображенного на фотокарточке.

Приложения:

Aspyd9: Кстати, как я понял, 5 надо подставить в решенное первое.

Ответы

Ответ дал: bekchanovxasan17
0

Пошаговое объяснение:

Сначала найдем производную функции, затем вместо х подставляем 5 ( по условию задачи)

Приложения:

Aspyd9: Хэй, а можешь описать что ты сделал между третьим и вторым действием с конца. Просто трансформация не понятна)
Вас заинтересует