• Предмет: Математика
  • Автор: kara163
  • Вопрос задан 3 года назад

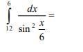
Помогите решить,даже не знаю как называется

Приложения:

Ответы

Ответ дал: im45mag05
0

Ответ:

-6,5985

Пошаговое объяснение

Используем подстановку

t=\frac{x}{6\\}

\frac{6}{sin^{2} } dt

6×∫\frac{1}{sin\\^{2} }dt

6×(-ctg(t)

6×(-ctg(\frac{x}{6\\}))       t=\frac{x}{6\\}

Формула Лейбница

-6×(ctg(\frac{6}{6\\}))+6×(ctg(\frac{12}{6\\}))≈-6,5985


kara163: Большое спасибо
Вас заинтересует
2 года назад